首页
档案政务
省馆概况
省馆简介
机构设置
省馆动态
通知公告
招标采购
财务公开
档案文化
红色记忆
网上展览
主题展厅
专题专栏
编研成果
史料编研
出版介绍
视频
珍档荟萃
档案查询
馆藏介绍
服务指南
预约查档
开放档案
政府公开信息
公共服务
档案法规
调查问卷
机关党建
学习习近平新时代中国特色社会主义思想
时政新闻
党建要闻
您的当前位置:吉林省档案信息网 >
首页
中国共产党吉林省档案馆机关第二次党员大会胜利召开
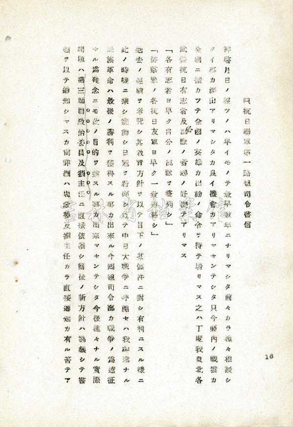
《中国档案报》: 抗日战争档案汇编成果巡礼
吉林省档案馆组织开展植树活动
吉林省档案馆老干部处组织老干部参观 “劳动者之歌”主题美术展
吉林省档案馆编研成果入选《2026年全民终身学习社长总编荐书入选书目》
时政新闻
更多
《中华人民共和国国民经济和社会发展第十五个五年规划纲要(草案)》摘要
新华社北京3月5日电中华人民共和国国民经济和社会发展第十五个五年(2026-2030年)规划纲要,根据《中共中央关于制定国民经济和社会发展第十五个... [详情]
警惕日本“新型军国主义”背后的错误文明观(国际论坛)
2026/05/08
《求是》杂志发表习近平总书记重要文章《树立和践行正确政绩观》
2026/04/01
新征程是新的长征 ——从“中国路”看中国式现代化道路
2026/03/17
十四届全国人大四次会议举行第二次全体会议
2026/03/10
李强作的政府工作报告(摘登)
2026/03/06
省馆动态
更多
中国共产党吉林省档案馆机关第二次党员大会胜利召开
2026/05/22
《中国档案报》: 抗日战争档案汇编成果巡礼
2026/05/19
吉林省档案馆组织开展植树活动
2026/05/15
吉林省档案馆老干部处组织老干部参观 “劳动者之歌”主题美术展
2026/05/14
吉林省档案馆编研成果入选《2026年全民终身学习社长总编荐书入选书目》
2026/05/13
让历史说话,用史实发言——国家社科基金抗日战争研究专项工程《吉林省档案馆藏日本侵华档案整理研究(第二期)》顺利通过专家组结项评审
2026/05/11
通知公告
更多
吉林省档案局关于印发《2026年度吉林省档案局科技项目计划》的通知
2026/05/12
吉林省档案局关于2026年度吉林省档案局优秀科技成果奖励的通知
2026/04/03
2026年度吉林省档案局拟立项科技项目授奖优秀科技成果公示
2026/03/20
吉林省档案馆关于临时闭馆的通知
2026/02/11
吉林省档案局关于开展2026年度档案科技项目相关工作的通知
2026/02/11
关于全省档案资源共享平台正式开通上线的通知
2025/12/30
馆藏介绍
预约查询
网上展览
服务指南
档案法规
更多
中华人民共和国档案法实施条例
2025/06/09
中华人民共和国档案法
2025/06/06
推进数字档案馆建设实施办法(试行)
2025/05/19
数字档案馆建设指南
2024/11/04
电子档案证据效力维护范围
2024/11/04
档案行政处罚程序规定
2023/05/09
档案开放
更多
为送新旧各书以备开办图书馆事给吉林提学司的批
2025/07/18
为送新旧各书以备开办图书馆事给吉林行省的详
2025/07/18
为派员承领书籍请饬发事给浙江提学使司提学使的咨
2025/07/18
为将原设之书报观览所现存书籍拨归图书馆备人观览事给吉林提学司提学使曹的移
2025/07/18
为报择吉开用钤记事的详
2025/07/18
为拨办银两并刊刻关防事的禀
2025/07/18
档案文化
更多
《中国档案报》:初心如磐·抗联英烈传 庆祝中国共产党成立105周年⑥
2026/05/19
《中国档案报》:初心如磐 抗联英烈传 庆祝中国共产党成立105周年⑤
2026/05/06
《中国档案报》:初心如磐 抗联英烈传 庆祝中国共产党成立105周年④
2026/04/22
《中国档案报》:初心如磐·抗联英烈传 庆祝中国共产党成立105周年③
2026/04/02
《中国档案报》:初心如磐 抗联英雄传 庆祝中国共产党成立105周年②
2026/03/11
《中国档案报》:初心如磐 抗联英雄传 庆祝中国共产党成立105周年
2026/03/03
友情链接
吉林省档案局
长春
四平
通化
延边
吉林
辽源
白山
白城
梅河口
首页
常见问题
联系我们
吉ICP备13000574号
馆藏档案资料查阅电话:
0431-80511000、80511111
吉林省政府公开信息查阅电话:
0431-80511112
服务监督电话:
0431-80511087